Influencer Marketing Agreement (Vermont): Free template
Got contracts to review? While you're here for contracts, let Cobrief make contract review effortless—start your free review now.

Customize this template for free
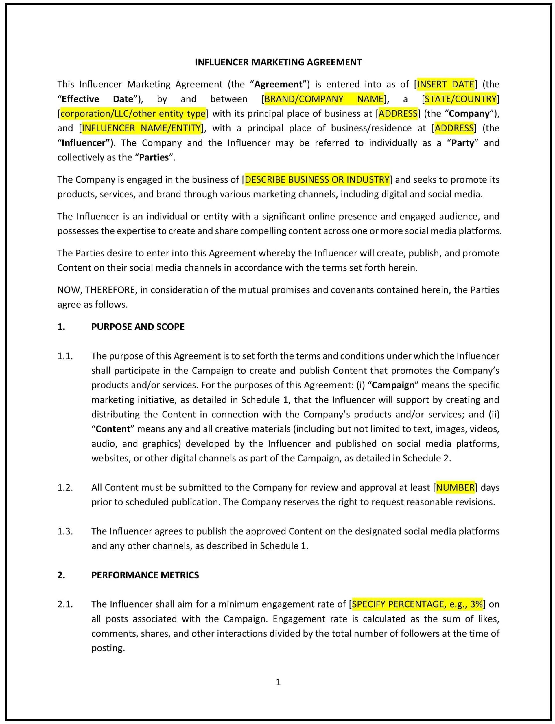
Influencer Marketing Agreement (Vermont)
An Influencer Marketing Agreement is a legal contract between a brand or company (the "Brand") and an influencer (the "Influencer") that outlines the terms and conditions of their collaboration. This agreement ensures clarity, protects both parties' interests, and establishes expectations regarding deliverables, compensation, intellectual property rights, and confidentiality. In Vermont, this agreement must comply with state laws regarding contracts, advertising standards, and intellectual property.
For example, a local artisanal cheese producer in Burlington might partner with a food influencer to promote their products through Instagram posts and stories. A well-drafted agreement specifies the scope of work, payment terms, and compliance with Federal Trade Commission (FTC) guidelines for sponsored content.
Tips for drafting and maintaining an Influencer Marketing Agreement in Vermont
- Identify the parties: Clearly specify the names, contact information, and roles of both the Brand and the Influencer.
- Example: “This Influencer Marketing Agreement is entered into by [Brand Name], located at [Address], and [Influencer Name], located at [Address].”
- Define the scope of work: Outline the specific tasks the Influencer is expected to perform, such as creating posts, videos, stories, or attending events.
- Example: “The Influencer agrees to create and publish [X] Instagram posts, [Y] TikTok videos, and [Z] blog articles promoting the Brand’s products/services within the agreed timeline.”
- Specify deliverables and deadlines: Detail the format, quality, and deadlines for all deliverables.
- Example: “All content must be submitted to the Brand for approval no later than [Date/Time]. The final approved content must be published by [Date/Time].”
- Include FTC compliance requirements: Ensure the Influencer discloses the partnership clearly and complies with FTC guidelines for sponsored content.
- Example: “The Influencer agrees to include clear and conspicuous disclosures, such as #ad, #sponsored, or #partner, in all content created under this Agreement.”
- Outline compensation and payment terms: Specify the payment structure, including flat fees, commissions, or free products/services.
- Example: “The Brand agrees to pay the Influencer a fee of $[Amount] upon completion of all deliverables. Payment will be made within [Number] days of receipt of an invoice.”
- Define intellectual property rights: Clarify ownership of the content created during the collaboration.
- Example: “All content created by the Influencer under this Agreement shall become the sole property of the Brand upon full payment. The Influencer retains a non-exclusive license to use the content for portfolio purposes unless otherwise agreed.”
- Add exclusivity clauses (if applicable): Specify whether the Influencer is restricted from promoting competing brands during the term of the agreement.
- Example: “During the term of this Agreement, the Influencer shall not promote any products or services that directly compete with the Brand without prior written consent.”
- Include termination provisions: Specify conditions under which the agreement can be terminated early.
- Example: “Either party may terminate this Agreement with [Number] days’ written notice if the other party breaches any material term of this Agreement.”
- Outline governing law and jurisdiction: Ensure the agreement specifies that it is governed by Vermont law and identifies the appropriate courts for dispute resolution.
- Example: “This agreement is governed by the laws of the State of Vermont. Any disputes arising under this agreement shall be resolved in the courts of [County], Vermont.”
- Include signatures: Both parties must sign and date the agreement to make it legally binding.
- Example: “IN WITNESS WHEREOF, the parties have executed this Influencer Marketing Agreement as of the date first written above.”