Got contracts to review? While you're here for contracts, let Cobrief make contract review effortless—start your free review now.

Customize this template for free
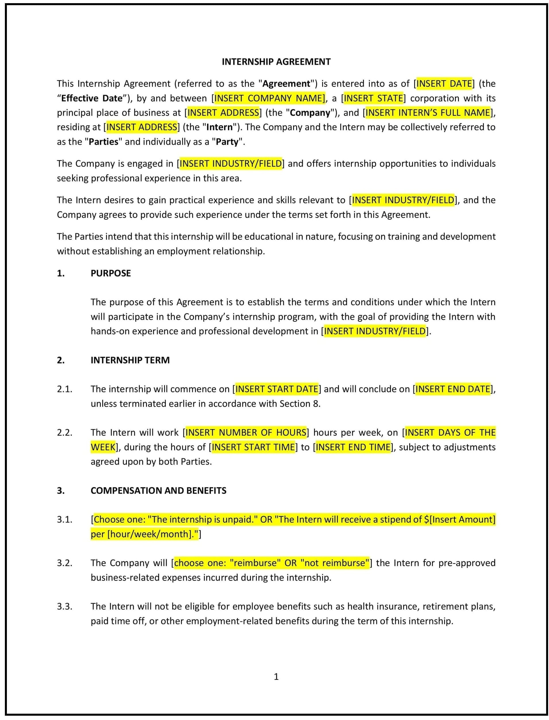
Internship Agreement (Wyoming)
An Internship Agreement is a legal document that outlines the terms and conditions of an internship between an intern (the Participant) and a company or organization (the Host). In Wyoming, these agreements are governed by state labor laws and must align with federal regulations, including those set by the U.S. Department of Labor. A well-drafted Internship Agreement clarifies roles, responsibilities, compensation (if applicable), and adheres to Wyoming’s requirements.
For example, a Casper-based energy company might hire an intern from the University of Wyoming to assist with data analysis. A clear Internship Agreement helps define expectations, protect both parties’ rights, and meet Wyoming’s standards.
Tips for drafting and maintaining an Internship Agreement in Wyoming
- Identify the parties involved: Clearly specify the names, addresses, and roles of the Host organization and the intern.
- Example: “This Internship Agreement is entered into by [Host Organization Name], located at [Address], and [Intern Name], residing at [Address].”
- Define the purpose of the internship: Describe the goals and objectives of the internship program.
- Example: “The purpose of this internship is to provide [Intern Name] with hands-on experience in energy analytics, including data collection, modeling, and report writing.”
- Specify the duration and schedule: Outline the start and end dates of the internship, as well as the expected hours of work per week.
- Example: “The internship will commence on [Start Date] and conclude on [End Date]. The intern is expected to work 15 hours per week, Monday through Friday, between 9:00 AM and 5:00 PM.”
- Clarify compensation (if applicable): State whether the internship is paid or unpaid and include details about stipends, reimbursements, or academic credit.
- Example: “This internship is unpaid; however, the Host Organization agrees to provide a $250 stipend upon successful completion of the program.”
- Outline roles and responsibilities: Clearly define the tasks and duties the intern will perform during the internship.
- Example: “The intern will assist with analyzing energy data, preparing reports, attending team meetings, and supporting project implementation.”
- Include confidentiality and intellectual property clauses: Protect sensitive information and clarify ownership of any work created during the internship.
- Example: “The intern agrees to maintain the confidentiality of all proprietary information disclosed during the internship and assigns all intellectual property rights to the Host Organization.”
- Address termination terms: Specify the conditions under which the internship may be terminated by either party.
- Example: “Either party may terminate this agreement with a written notice of 7 days if the other party breaches any terms of this agreement.”
- Outline governing law and jurisdiction: Ensure the agreement specifies that it is governed by Wyoming law and identifies the appropriate courts for dispute resolution.
- Example: “This agreement is governed by the laws of the State of Wyoming. Any disputes arising under this agreement shall be resolved in the courts of [County], Wyoming.”
- Include signatures: Both the Host and the intern must sign and date the agreement to make it legally binding.
- Example: “IN WITNESS WHEREOF, the parties have executed this Internship Agreement as of the date first written above.”
Frequently asked questions (FAQs)


