Got contracts to review? While you're here for contracts, let Cobrief make contract review effortless—start your free review now.

Customize this template for free
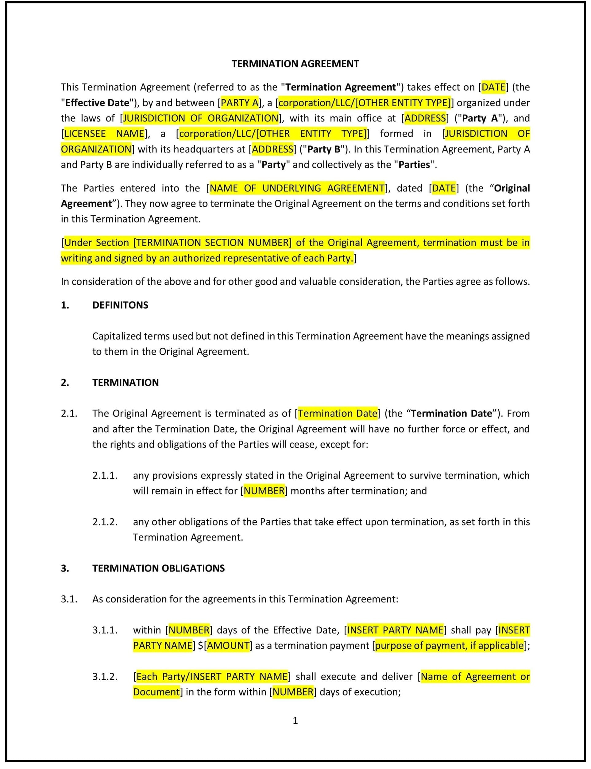
Termination Agreement (Virginia)
A Termination Agreement is a legally binding contract used to formally end an existing business relationship, partnership, or contractual arrangement between two or more parties. In Virginia, this type of agreement is commonly used in industries such as technology, healthcare, manufacturing, retail, and professional services to ensure that the termination process is conducted smoothly, fairly, and in compliance with applicable laws.
Whether you're dissolving a partnership, ending a vendor contract, or terminating an employment agreement, a well-drafted Termination Agreement helps minimize disputes, clarify final obligations, and protect the interests of all parties involved. For example, an Alexandria-based company might use a Termination Agreement to end a supplier contract, while a Roanoke-based business might dissolve a joint venture with a partner.
This agreement ensures that all parties understand their rights and responsibilities during and after the termination process, including financial settlements, asset distribution, confidentiality obligations, and dispute resolution mechanisms. A properly executed Termination Agreement provides legal protection and closure for all parties.
Tips for drafting and maintaining a Termination Agreement in Virginia
- Clearly state the purpose of termination: Specify the reason for ending the agreement, whether it’s due to breach of contract, mutual consent, expiration of the term, or other reasons.
- Example: “This Termination Agreement is entered into to formally end the partnership agreement dated [Original Agreement Date] between Party A and Party B.”
- Outline final obligations: Detail any remaining responsibilities of each party, such as completing outstanding deliverables, settling payments, or returning property.
- Tip: Include deadlines for fulfilling these obligations to avoid delays.
- Address financial settlements: Specify any payments, refunds, or reimbursements owed by either party. Ensure these terms are clear and agreed upon by all parties.
- Example: “Party A agrees to pay Party B $5,000 as a final settlement within 10 business days of signing this agreement.”
- Include confidentiality and non-disclosure clauses: Protect sensitive information shared during the original agreement by requiring parties to maintain confidentiality even after termination.
- Tip: Specify the duration of the confidentiality obligation, if applicable.
- Resolve intellectual property ownership: Clarify the status of intellectual property created or shared during the original agreement. Specify whether ownership transfers, remains with one party, or is licensed.
- Example: “All intellectual property developed under the original agreement shall remain the sole property of Party A.”
- Comply with Virginia laws: Ensure the agreement adheres to Virginia’s contract laws and any industry-specific regulations. For example, if the termination involves employees, ensure compliance with Virginia’s labor laws.
- Tip: Consult with a lawyer to ensure full compliance with state and federal requirements.
- Include dispute resolution mechanisms: Specify how disputes related to the termination will be resolved, whether through negotiation, mediation, or arbitration. Indicate that Virginia law will govern the agreement.
- Example: “Any disputes arising under this agreement shall be resolved through arbitration in Richmond, Virginia, in accordance with Virginia law.”
- Keep records of the termination: Maintain copies of the signed Termination Agreement and any related documentation for future reference. This is especially important in case of future disputes or audits.